Electric Fields around a Moving
Line Charge
Consider
a line of charges along the z-axis with charge density rho_0 (in the observers frame) and moving at
velocity beta = v/c in the +z direction. We have a test charge qt located a
distance r from the line charge. Based on the derivation in the last section
one might think that the charges on the –z axis that are approaching the test
charge would have a stronger effect than those on the +z axis that are receding,
resulting in a component of the electric field that is parallel to the z
axis. (The author has seen this claim
made on several occasions on the web, such as the “Relativistic
Electromagnetism” page on Wikipedia.) This
does not happen due to a compensating effect that we will calculate now.
To do
this calculation correctly we need the correct picture of the retarded
positions of the line charges. First we
will look at a simple special case, where the test charge is very close to the
line charge. The space-time diagram below shows this case:
|
|
|
|
|
|
|
|
The test
charge “sees” the charges in the line on its own past light cone. These charges are indicated by the red dots on the
diagonal lines above. The black arrows are the world lines for each of these charges. The tails of these arrows I've set on the position of the wire at some time in the past. Notice the
spacing of the line charges on the zt
axis, and also the spacing on the past light cone. At any specific time, the spacing of the charges on the wire is uniform. But since the test charge will be responding to charge on its past light cone, it is the spacing on the light cone that is important.
The charges approaching qt, i.e. those to the left of qt, have a wide spacing along the light cone, whereas the charges receding qt, to the right of qt, have a smaller spacing. The charges to the left, which are approaching qt and thus have an augmented gradient to their potential, are spaced further apart on the past light cone due to the angle their world line is making with the light cone. Conversely the charges to the right of qt, which are receding from qt and thus have a reduced gradient to their potential, are more closely spaced. The apparent line charge density,
as observed in the qt frame, corresponds to the spacing of these charges on
the past light cone, but projected onto the zt
axis.
The charges approaching qt, i.e. those to the left of qt, have a wide spacing along the light cone, whereas the charges receding qt, to the right of qt, have a smaller spacing. The charges to the left, which are approaching qt and thus have an augmented gradient to their potential, are spaced further apart on the past light cone due to the angle their world line is making with the light cone. Conversely the charges to the right of qt, which are receding from qt and thus have a reduced gradient to their potential, are more closely spaced. The apparent line charge density,
We use
the triangle to the right in the figure to calculate the charge density along
the light cone as seen by the test charge.
The spacing between the charges corresponds to the distance along the base
of this triangle minus the short horizontal line at the top left:
A little algebra then gives:
A little algebra then gives:
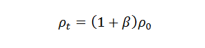
Thus
the charge density for the charges receding from the test charge is enhanced by
the factor 1+beta . Note however that from the derivation in the
previous section that the electromagnetic forces for these charges is divided
by this same factor, The result is that the electromagnetic force
of the charges receding from the test charge is exactly the same as would be
calculated for the normal, rho_0 , charge density.
For the charges approaching the test charge, the density factor is just 1-beta because the light cone slopes in the other direction. Also the enhancement of the electromagnetic force is by this same factor so that again the net effect is that the force is exactly the same as if the charges were stationary with the linear charge density rho_0. As a result we conclude that despite the so called “Lienard-Wiechert potentials”, that the electric fields for an infinite line charge are always normal to the line charge even though the charges are moving.
Taking
this charge density and standard electrostatic theory, we calculate the
4-potential at the point r from the
wire. Note that in the derivation in the
last section, rho_0 was the charge density of the line charge in
the observers frame. If we now take rho_0 as the linear charge density in the rest frame
of the line charge, the observers charge density becomes gamma rho_0. If we integrate the potential contribution of
all the charges in the line, and apply the Lorentz transform as described in
section I.6, we get:
(Actually
this is an approximation. The potential
near an infinitely long line charge is infinite. This should not be too surprising since there
would have to be an infinite charge on the line. For a finite line charge, the above
expression is correct to within a constant.
See a later post for a more complete derivation.)
The
force on the test charge, assumed stationary in the observers frame, is then:
Since
the test charge is not moving towards or away from the source wire, there is no
rate of change with time:
Since
the charge density along the past light cone is proportional to 1+beta,
we get:
Using
the expression for the potential near a wire, we
can evaluate the electrostatic force around a line charge:
Where gamma rho_0 is the linear charge density on the wire in
the observers frame, in terms of the charge density in the source charge rest
frame and the Lorentz Transform
factor.
This gives the “electric field” around the charge line:









This comment has been removed by a blog administrator.
ReplyDelete