Lienard-Wiechert
Potentials
We have
been assuming the electrostatic potential:
but if
the source and test charges are moving with respect to each other, in which
frame is r calculated?
In particular, do we use the r
value in the test charge frame or the source charge frame? If the charges are moving these are two
different values.
Consider
two particles, a stationary test charge, qt,
and a moving source charge, qs
at a retarded time with respect to the test charge. To an observer in the qt frame, qs
is a distance rt away from
qt at t=0, and is, we will assume, moving directly
away from qs with speed beta = v/c . What is the separation for an
observer in the qs frame
however?
We need
to address a conceptual issue before we can answer this question. What do we mean by “now” for the qs observer? When talking about potentials we must use the
retarded positions of the source charges.
Because the qs
charge is moving this makes a difference.
To the qs observer
the retarded position of the qt
charge, the position that the qs
can see, is at a different time (and position) than being calculated by the qt observer. To make sense of this question we must have
the qs observer calculate
the distance to the advanced position
of the qt charge from the qs frame. The problem is to calculate the separation in
space between qt and qs at two events (space-time
positions) that are on a common null line, with qt in the future wrt qs. Below is
a Minkowski space-time diagram of the situation, as seen in the qs frame:
We will
arbitrarily designate the coordinates at qt
as being the origin. We will also
specify that the qs frame
space-time origin is at the same place as the qt origin, at the moment we are calculating. Thus in the qt frame the qs
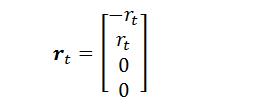
position is, if we align the x axis with r:
Note that we are using space coordinates
here. That is, the time coordinate is
being measured in distance. We use
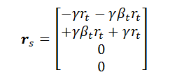
the Lorentz transform to get the qs
position
Thus
the spatial separation of the charges in the qs frame is:
Thus
the potential the qs observer would calculate at the advanced
position of qt is:
Where
here phi, the potential, is calculated from the qs observers point of view to the advanced
position of qt. In this frame there is no magnetic field. Thus the potential energy of the interaction does not depend on the speed of the test charge. It seems reasonable to assume that this energy of interaction will be transformed to the test charge frame via the Lorentz transform, and in fact this gives us the correct answer.
What is this potential as transformed back to the qt frame?
or
These potentials are called the Lienard-Wiechert Potentials. The forces on the test charge are then:
Where
now phi and A are as calculated in the qt frame.
The separation is larger in the source charge frame (if it is receding
from the test charge), but that increased separation is partially compensated
for by the Lorentz transformation from the source to test charge frames.
Note the effect the 1+beta term in the denominator has. If the source charge is receding at near the speed of light, the potentials, and thus the forces, are reduced by one half. On the other hand, if the source charge is approaching the test charge at near the speed of light, beta is negative and the potentials, and thus the forces, can be arbitrarily large.
















