We can show
a deeper relationship between conservation of energy and conservation of
momentum if we assume the Einstein relativity principle. This can be done substantially the same way as
the previous argument provided you use the Relativistic addition of velocities
formula. A more interesting derivation
results however if we bring in some ideas from Quantum Mechanics.
Relativity tells us that mass has energy:
And quantum mechanics tells us that energy and frequency are
related. We will call the frequency
associated with the rest mass of a particle its “rest mass frequency”. This is also sometimes referred to as the
“Compton Frequency”:
How does the “rest mass frequency” transform to frequency and
wave number for an observer in an inertial frame moving with respect to the
particle? Conceptually we can get the
correct picture with a couple of Minkowski diagrams. In the rest frame of the particle, the wave
function is purely frequency, with no spatial variation. The crests of the wave function are thus
horizontal lines in the space-time diagram (see Fig. 1):
In the rest frame of the particle the quantum mechanical wave
function will have k=0 and only a
simple sinusoidal variation in time:
The phase of this wave function is a scalar and thus invariant
(i.e. the same) in all frames. Consider
an observer in a different frame moving with velocity v along the x axis wrt
the particle. What frequency will this
observer see? The quick off-the-cuff
answer, that he would see a lower frequency because the particle is moving, is
incorrect. The error with this answer is
that the observer is not seeing a clock on a moving particle, but rather is
measuring the rate of change of phase of the wave function at a single point in the observers frame.
Figure 2 shows the lines of constant phase in the observers
frame. Note that the lines are now
tilted. In this frame the phase changes
with position. Quantum mechanically this
means that the particle has momentum.
Let’s first focus on the frequency, however.
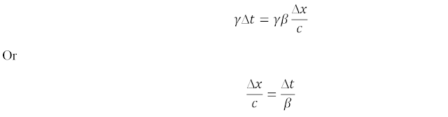
We want to know how a time period delta-t between events A
and B, related to the rest
mass frequency, transforms under a Lorentz Transform. In the particle rest frame the period is delta-t:
Note that beta is the speed of the primed frame as observed
from the unprimed frame. What we really
mean is: what is delta-t' when delta-x' is zero? delta-x' = 0 implies:
Putting this into the time equation gives:
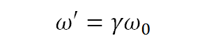
Or, using omega' for the frequency in the primed frame:
And relating this back to the energy again we get the standard
relativistic energy with a boost relationship:
Now what is the spatial frequency seen in the observers frame? What we mean is, what is the delta-x' between a time 1/omega_0 (between events A
and C) in the particles rest
frame when the observers delta-t' is zero?
This time we use the time equation and the fact that delta-t' = 0 to get:
This now gives for the delta-x'/c distance:
If we rework this a little bit we get:
What we really want is k’, which is 2pi/delta-x',
so we get:
Putting this in terms of beta', the speed of the particle in the primed frame, we get:
Putting in the expression for the rest mass frequency now gives:
Combining these results for omega and k we can write the wave
function for a moving particle. The way
we set this up, the phase of the wave function increases with k' * x', so we get:
Where we have identified (in the primed (observers) frame):
This shows that energy and momentum are really different aspects of the
same thing. Energy is the rest mass
frequency projected onto the observer’s time axis. Momentum is the rest mass frequency projected
onto the observer’s space axes.

















No comments:
Post a Comment